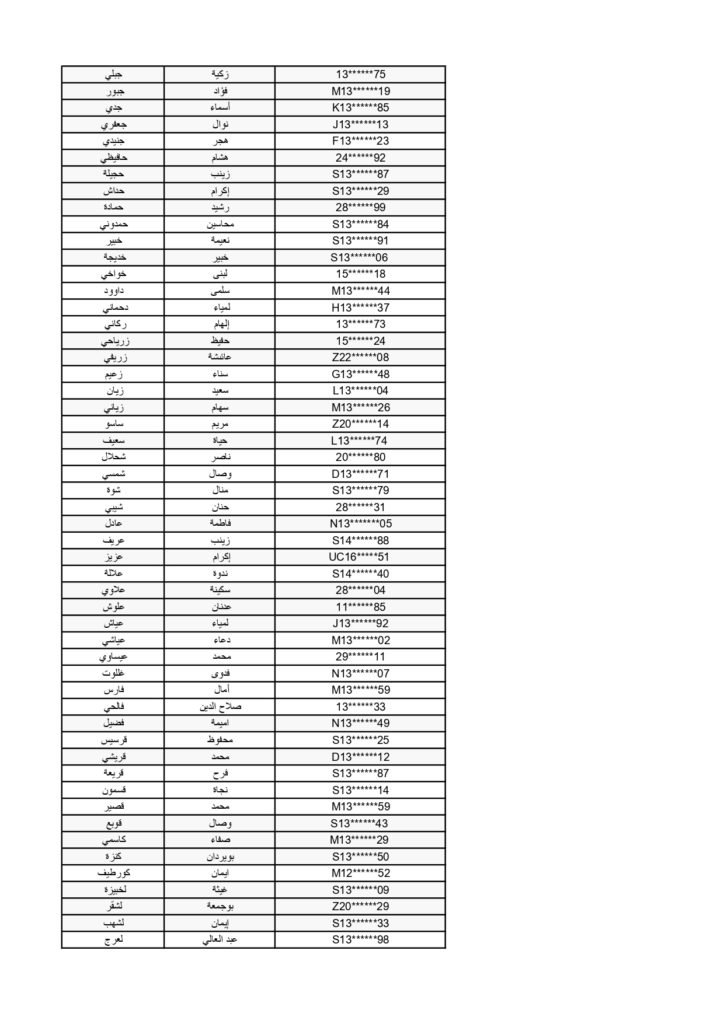
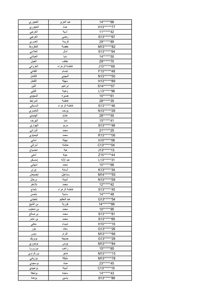
لائحة المترشحين المقبولين لاجتياز الاختبار الكتابي ماستر تحليل الخطاب وقيم التنميةالسنة الجامعية 2026 – 2025